Experimentierstraße Physik
Experimentierstraße Physik
Im Rahmen des P-Seminars Korridorexperimente am Röntgen-Gymnasium Würzburg wir am Mittwoch den 13.01.16 um 14:00 Uhr eine dauerhafte Mitmachausstellung im Gang vor den Physikräumen des Röntgen-Gymnasiums eröffnet. Physikalische Zusammenhänge sollen so von Schülern für Schüler einfach und ansprechend präsentiert werden und zum Mitmachen, Mitdenken und zur Auseinandersetzung mit physikalischen Phänomenen anregen.
Die folgenden Experimente wurden von den Schülern gebaut:
| Zylinderlinse | Roll up |
| Spiegelbuch | Walzenrollbahn |
| Verzerrtes Spiegelbild | Pendulum Waves |
| Unendlichkeitsspiegel | Ferrofluid Brunnen |
| Anamorphosen | Magnetschwebebahn |
| Moire-Effekt | Wirbelstrombremse |
| Additive Farbmischung | Wärmeleitung |
| Subtraktive Farbmischung | Bernoullieffekt |
Magnetschwebebahn
Physikalischen Hintergrunde des Versuchs
a) Dauermagnetismus
Körper, die andere Körper aus Eisen, Nickel oder Kobalt anziehen oder abstoßen können, werden Magnete genannt. Dauermagnete (Permanentmagnete) haben die Eigenschaft, diese Fähigkeit sehr lange oder gar dauerhaft zu besitzen. Jeder Magnet besteht aus zwei Polen, dem Nordpol und dem Südpol. Jeweils gleichnamige Pole stoßen sich gegenseitig ab, ungleichnamige Pole ziehen sich an.
Um jeden Magneten herum existiert ein magnetisches Feld, welches mit Feldlinien vom Nordpol zum Südpol dargestellt wird. Innerhalb dieses Feldes wirken Kräfte auf andere Magnete bzw. ferromagnetische Stoffe (Eisen, Nickel, Cobalt).
b) Abstoßung der Magnete im Versuch
In diesem Versuch sind die Permanentmagnete so angeordnet, dass jeweils gleichnamige Pole übereinander liegen. Dadurch stoßen sich die gleichnamigen Pole der Magnete gegenseitig ab und der Wagen "schwebt" in der Luft über den Schienen, ohne diese zu berühren.
Im Gegensatz zu gewöhnlichen Quadermagneten bieten die in diesem Versuch verwendeten den Vorteil, dass die Pole nicht quergeteilt, sondern längsgeteilt sind, was dazu führt, dass jeder einzelne Magnet eine möglichst große Fläche bietet, die zur gegenseitigen Abstoßung dient. Wären die Magnete quergeteilt, wären für die gleiche Abstoßungskraft mehr Magnete notwendig.
Wärmeleitung
Wärmeleitung
Im Versuch zur Wärmeleitung soll vor allem auf die unterschiedliche Wärmeleitfähigkeit verschiedener Materialien eingegangen werden.
Wenn ein Material unterschiedlich warme Stellen aufweist beginnt die Wärme in Richtung des kälteren Bereiches zu fließen. Allgemein lassen sie sich in zwei Gruppen unterteilen. Einerseits die gut leitenden Stoffe und andererseits die schlecht leitenden Stoffe, auch Isolatoren genannt.
Die Platten, die alle gleich Warm sind, zeigen die Wärmeleitfähigkeit anhand der subjektiven Wahrnehmung des Menschen, für den sich Materialien mit hoher Wärmeleitfähigkeit kälter anfühlen als die mit niedriger. Die Aluminiumplatte entzieht der Hand (und somit auch der Wärmebildkarte) die Wärme viel schneller, als zum Beispiel der Isolator Holz. Die Wärmebildkarten machen diesen Wärmefluss sichtbar, indem sie sich beim Isolator stärker verfärbt und die Färbung länger behält, als bei Glas und Metall.
Die beiden Stangen aus Glas und Metall zeigen im Grunde den gleichen Effekt. Jedoch stammt hier die Wärme von den Heizelementen und der Wärmefluss wird nicht mit Hilfe von Farben gezeigt, sondern durch die Thermometer.
Wie gut Wärme in einem Material weiter geleitet wird, hängt von der jeweiligen Wärmeleitfähigkeit ab. Warum die Wärmeleitfähigkeit bei manchen Stoffen höher ist, als bei anderen, lässt sich durch die Teilchen aus denen das Material besteht begründen.
Jedes Material besteht aus kleinsten Teilchen. Sie lassen sich in Elektronen und Phononen unterteilen. In Metallen sind einige dieser Elektronen freibeweglich, dies erlaubt es ihnen Wärme schnell weiterzuleiten. In Isolatoren ist dieses sogenannte Elektronengas nicht vorhanden, somit bleiben nur die lokalisierten Phononen um die Wärme zu transportieren. Phononen leiten die Energie jedoch wesentlich schlechter als Elektronen.
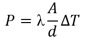
Wie gut der Wärmefluss in einem Stoff ist, lässt sich durch die Wärmeleitzahl λ ausdrücken. Mit dieser und der Hilfe des Durchmessers A, der Dicke d sowie der Temperaturänderung ∆T des verwendeten Materials lässt sich die Leistung P des Wärmeflusses berechnen:


Skala zu den Wärmebildkarten:

Unendlichkeitsspiegel
Das Prinzip, welches hinter dem Unendlichkeitsspiegel steckt, ist das der Mehrfachspiegelung. Das Licht gelangt durch die halbtransparente Spiegelfolie und wird anschließend vom Spiegel, der der Plexiglasscheibe, auf der die Spiegelfolie klebt, gegenüber steht, zurückgeworfen. Dann wird jedoch nur noch ein Teil des Lichtes das Auge erreichen, denn die Spiegelfolie reflektiert den anderen Teil wieder in Richtung des Spiegels. In der Theorie geschieht dies unendlich oft, sodass man unbegrenzt oft den LED-Streifen sehen könnte. In der Praxis jedoch kommt auch von außen Licht, was als Störfaktor wirkt. Somit sieht man den LED-Streifen nur einige Male.
Spiegelbuch
Spiegelbuch
Zunächst betrachten wir die einfache Spiegelung.
Ein Spiegel reflektiert Lichtstrahlen, die von Objekten ausgehen und ermöglicht es dem Menschen, sich selber, bzw. um die Ecke zu sehen. Fallen diese Lichtstrahlen unter einem Einfallswinkel α auf den Spiegel, so werden sie von diesem im selben Winkel reflektiert. (Einfallswinkel=Ausfallswinkel)

Fallen die reflektierten Strahlen in unser Auge, so entsteht der Eindruck, dass die Strahlen von einem Gegenstand hinter dem Spiegel ausgehen, dem Spiegelbild oder auch „virtuellen Bild“. Das Spiegelbild befindet sich im gleichen Abstand hinter dem Spiegel wie das gespiegelte Objekt vor dem Spiegel. Das menschliche Auge ist nicht in der Lage, eine Spiegelung des Lichtstrahles am Spiegel wahrzunehmen, sondern stellt sich das Spiegelbild in Verlängerung des Lichtstrahles durch den Spiegel hindurch vor.

Bei der Spiegelung wird hierbei nicht etwa rechts und links vertauscht wird, sondern vorne und hinten.
Dies lässt sich an der Ausrichtung des Kugelschreibers gut erkennen.
(Bild3)
Nun betrachten wir das hier vorliegende Phänomen der Mehrfachspiegelung. Bei diesem Versuch sind zwei Spiegel in einem Winkel α zueinander aufgestellt.
Bei einem Winkel von 90° lassen sich die beiden Spiegelbilder CaDaEa und CbDbEb ganz einfach durch direkte Spiegelung an a und b erklären. Um das dritte Spiegelbild CabDabEab herzuleiten, muss man nun die Spiegelachsen verlängern, denn genau diese Verlängerung ist der Spiegel im jeweils anderen Spiegel gespiegelt. Diese Verlängerung gibt es jedoch nur wenn der Winkel zwischen den Spiegeln der Formel 180°:n (mit n=2,3,4,5…) entspricht. Dies macht das menschliche Auge für uns von alleine, da es sich - wie schon angesprochen - keine Spiegelung der Lichtstrahlen vorstellt sondern ein Spiegelbild hinter dem Spiegel. So ist die Verlängerung von b einfach das Spiegelbild von b, genauso bei a. Das Dreieck CabDabEab wird also erst an einer Spiegelachse gespiegelt und dann an der Verlängerung der anderen.

Bei einem Winkel von 60° lassen sich die Bilder CaDaEa und CbDbEb durch Einfachspiegelung und CabDabEab und CbaDbaEba nach dem gleichen Prinzip wie beim Fall 90 ° durch Doppelspiegelung erklären. Das Dreieck CabaDabaEaba kommt jedoch durch eine Dreifachspiegelung zustande. Hierbei wird das Ausgansdreieck zunächst an einer der beiden Spiegelachsen gespiegelt, dann an der anderen und zuletzt wieder an der ersten.

Generell lässt sich über die Anzahl der Spiegelungen eine Formel aufstellen:
Wenn der Winkel zwischen den Spiegeln 180°:n ist ( mit n=2,3,4,5..), so lassen sich 2n-1 Spiegelbilder in kranzartiger Anordnung erkennen, von welchen n Spiegelbilder spiegelverkehrt sind.
Bewegte Bilder
Bei diesem Effekt handelt es sich um den sogenannten Moiré Effekt.
Grundsätzliches zum Moiré Effekt:
Als Moiré Effekt bezeichnet man, wenn in mindestens zwei ähnlichen, periodischen und sich überlagernden Mustern neue, größere Muster erkennbar sind, welche eigentlich gar nicht vorhanden sind. Besonders deutlich wird er, wenn sich diese periodischen Muster gegeneinander verschieben. Unser Gehirn sieht hier Muster und/oder Linien, wo eigentlich keine sind, weil es immer dazu tendiert, solche zu finden, auch wenn es sie gar nicht gibt. Die reale Größe der ursprünglichen Muster spielt dabei gar keine Rolle, solange sie nur klein genug von uns wahrgenommen werden. Der Effekt kann deshalb beispielsweise an weiter entfernten Gartenzäunen mit einem Spaltabstand von ca. 20cm, aber auch an direkt vorliegenden Materialien wie einer Tischdecke mit Spaltabständen von <1mm zu sehen sein.
Physikalische Erklärung:
Es gibt zwei zu unterscheidende Fälle:
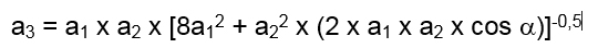
Der Moiré-Effekt tritt auf in dem Fall 1), dass zwei Muster übereinander gelegt werden, deren Spaltabstand unterschiedlich ist. Es sollte jedoch gelten, dass der Spaltabstand des Materials 1, a1, innerhalb des Bereiches zwischen 0,5a2 und 2a2 des Materials 2 liegt, um mit Sicherheit einen Effekt zu erzeugen. Verschiebt man nun die Materialien 1 und 2 parallel übereinander, so errechnet sich der im neu entstandenen Muster sichtbare Spaltabstand a3 wie folgt:

Im Fall 2) ist der Spaltabstand der Muster 1 und 2 derselbe, nämlich a1, jedoch werden die Muster nicht mehr parallel verschoben sondern geneigt um den Winkel α. Hier gilt nun die folgende Formel:

Beide Fälle kombiniert, also verschieden große Spaltabstände und ein Neigungswinkel α≠0, ergeben eine komplexere Gleichung zum Errechnen des Spaltabstandes a3 des entstandenen Musters:

Anwendung: Bewegte Bilder
Bei diesem Experiment hat man sich den Moiré Effekt zunutze gemacht, indem ein Bild in mehreren Ansichten, also Stadien der Bewegung, abgebildet ist. Dabei wird jedoch immer nur ein Streifen des Bildes verwendet, sodass auf jedem folgenden Streifen derjenige des nächsten Bewegungsstadiums zu sehen ist. Wichtig ist hierbei, dass es sich um ein Endlosschleifen-Bild handelt, sodass das eigentliche Ende der Bewegung gleichzeitig deren Anfang ist.

In dieser Tabelle ist das Konzept veranschaulicht: die Zahlen 1 bis 5 entsprechen fünf verschiedenen Bewegungsstadien und jede Zelle steht für einen Streifen. Eine dazu passende Streifenfolie mit gleichem Abstand zwischen den schwarzen Streifen welcher der Breite eines jeden Bildstreifens entspricht, verfolgt folgendes Schema:

Wird diese Streifenfolie nun über das Moiré Bild gelegt, sind nur Streifen des Bewegungsmomentes 1 zu sehen. Hier kommt uns nun der Moiré Effekt zu Gute, denn unser Gehirn projiziert den Rest des Bildes in die Schwarzen Bereiche hinein, sodass wir es vollständig sehen können. Dabei ist wichtig, dass der Spaltabstand klein genug ist oder in einer solchen Entfernung, dass es als klein erscheint. Besser funktioniert der Effekt bei Bewegung.
Grafiken, die kein direktes Bild projizieren sollen, sondern nur geometrische Muster zeigen, können durch verschiedene Spaltabstände, Abstand von der Folie zur Grafik oder einen Kippwinkel α≠ 0 variierende Moiré Muster erzeugt werden.

Pendulum Waves
Bei einem Fadenpendel hängt die Periodendauer T (Zeit zwischen dem erreichen der gleichen Position eine Pendelkörpers) von der Länge der Pendel ab.

für:

Das längste Pendel hat die doppelte Länge des kürzesten.
Hieraus ergibt sich, dass seine Periodendauer
mal die Periodendauer des kürzesten Pendels beträgt.
Vergleichst du dies mit dem Versuch, so solltest du also erkennen, dass das längste Pendel für eine volle Schwingung ungefähr 1,5 mal so lang benötigt, wie das kürzeste Pendel.
Da die Pendellängen so gewählt sind, dass nach einer bestimmten Anzahl an Schwingungen sich alle Pendel wieder in der gleichen Lage bzw. Position befinden, ergibt sich der Eindruck einer Welle.

Subtraktive Farbmischung
Die subtraktive Farbmischung entsteht immer dann, wenn nicht selbstleuchtende Körper einen Farbeindruck hervorrufen. Die Farbe bei der subtraktiven Farbmischung entsteht, wenn z.B. ein Farbpigment im Körper oder ein Filter aus dem auftreffenden Licht einen Farbanteil absorbiert und das restliche Licht in das Auge trifft. Das Licht verschiedener Farbe wird durch Farbfilter ausgeblendet oder durch Pigmente absorbiert. Das restliche Licht bildet eine Mischfarbe.
Die Grundfarben der subtraktiven Farbmischung sind Gelb, Magenta und Cyan.
Mischt man diese so kann man folgende Farben erkennen:
Gelb + Cyan = Grün
Gelb + Magenta = Rot
Magenta + Cyan = Violett
Mischt man alle drei Farben gleichzeitig erkennt man die Farbe: Grau
Additive Farbmischung
Additive Farbmischung
Um eine der drei Primärvalenzen (Rot, Grün, Blau) wahrzunehmen, hat das menschliche Auge für jeder der drei Farben eine bestimmte Art von Zapfen. Diese sind die Sehzellen, die es ermöglichen Farben zu sehen. Daneben gibt es noch die sogenannten Stäbchen, die für das Sehen kleiner Objekte und im Dunkeln verantwortlich sind. Die verbundenen Schalt- und Nervenzellen sorgen somit für eine Übertragung eines scharfen Bildes an das Gehirn. Da die jeweiligen Farbzapfen auf jeweils unterschiedliche Wellenlängen des ankommenden Lichtes ansprechen, reagieren sie auch verschieden stark.
Da das Auge mit diesen drei Rezeptoren arbeitet, lassen sich alle für den Menschen sichtbaren Farben durch Addition/Überlagerung von Licht dieser drei Grundfarben erzeugen. Man kann aus den Farben Rot, Grün, Blau eine riesige Anzahl neuer Farben hervorrufen, indem die Intensitäten verändert werden. Die resultierende Farbe ist jedoch immer heller, als jede der Ausgangsfarben. Addiert man Licht aller drei Grundfarben, so erhält man den Farbeindruck von weißem Licht. Wenn hingegen gar kein Licht vorhanden ist, sieht man die ,,Farbe" schwarz. Welche Farbe sich ergibt, wenn sich zwei Primärvalenzen auf dem weißen Schirm schneiden, zeigt folgende Tabelle:

Tab. 1: Mischung der einzelnen Farben
Wenn sich zwei Primärvalenzen auf dem weißen Schirm schneiden, die im Spektrum (vgl. Abb. 1) nebeneinander liegen (s. Blau und Grün; Grün und Rot), dann werden beide Farben zu dem resultierenden Mischlicht „addiert" (vgl. Tab. 1). Überschneiden sich aber die Lichtkegel der jeweils an den Enden des Spektrums liegenden Farben (s. Blau und Rot), erscheint für das menschliche Auge die Farbe Magenta, die sich allerdings nicht im Spektrum finden lässt (vgl. Abb. 1). Anwendung findet die additive Farbmischung auch im Alltag, beispielsweise beim Farbfernsehen.
Abb. 1: für den Menschen sichtbares Lichtspektrum
Farbige Schatten
Ein Schatten kann nur entstehen, wenn sich ein nicht transparenter Körper zwischen Lichtquelle und Schirm im Lichtkegel befindet. Ein sogenannter Halbschatten kann entstehen, wenn zwei Lichtquellen vorhanden sind. Der ,,hellere" Schatten erscheint da auf dem Schirm, wo der Schatten der einen Lichtquelle liegen würde, der allerdings durch die zweite Lampe aufgehellt wird. Im Bereich, wo das Licht keiner der beiden Quellen auf den weißen Schirm trifft, ist ein dunkler Kernschatten zu sehen (vgl. Abb. 2).
Dieser physikalische Grundsatz ist auch beim ausgestellten Versuch zu beobachten. Steht das Hindernis (zum Beispiel deine Hand) im Lichtkegel der drei Lampen, so hat der Schatten auf dem Schirm (hier die Wand) die Farbe des Mischlichts der nicht verdeckten Lampen.

Abb. 2: Entstehung eines Halbschattens
Verzerrtes Spiegelbild
Das grundlegende physikalische Phänomen ist die Reflexion von Licht. Wenn Licht auf einen Spiegel trifft, dann wird es gemäß dem Reflektionsgesetz ‚Einfallswinkel gleich Ausfallswinkel‘ reflektiert. Das bedeutet, dass das Licht relativ zum Lot auf die Spiegelfläche im Winkel a einfällt, und dann im Winkel a relativ zum Lot wieder reflektiert wird, wobei gilt: α‘=α (siehe Abb. 1).

Dies lässt sich dadurch erklären, dass Licht eine Welle ist. Die Wellenfront trifft zunächst links auf den Spiegel. Dort löst sie eine Elementarwelle aus. Dies passiert auch an jeder anderen Stelle, auf die die Wellenfront trifft. Die Elementarwellen breiten sich kreisförmig aus. Wenn das rechte Ende der ursprünglichen Wellenfront den Spiegel erreicht hat, ist die erste Elementarwelle(IV) genau soweit vom Spiegel entfernt, wie das rechte Ende der ursprünglichen Wellenfront, als die Welle den Spiegel zu ersten Mal berührt hat(I) (siehe Abb. 2).

Aufgrund dessen entsteht eine neue Wellenfront, die sich im selben Winkel wieder von dem Spiegel wieder entfernt.
Auch bei gewölbten Spiegeln ist das Reflexionsgesetz anwendbar. Allerdings erzeugen diese Spiegel ein anderes Spiegelbild als ebene Spiegel.
Das Bild an einem nach außen gewölbten (konvexen) Spiegel, ist das Spiegelbild kleiner als auf einem nicht gekrümmten Spiegel. Da die Winkel α‘=α sind kleiner, ist das virtuelle Bild ebenfalls kleiner(siehe Abb.3). Durch diese Verkleinerung lässt sich ein größeren Teil des Raumes abbilden. Das Bild sieht demnach gestreckt aus.

Bei der Spieglung an einem nach innen gewölbten (konkaven) Spiegel, scheint das Spiegelbild größer. Dies ist der Fall, weil die Winkel α‘=α sind größer und das virtuelle Bild ist deshalb auch größer (siehe Abb.4). Da dieses vergrößerte Bild auf dem Spiegel abgebildet werden muss, wirkt es gestaucht.
